Официальное опубликование правовых актов
ОФИЦИАЛЬНОЕ ОПУБЛИКОВАНИЕ
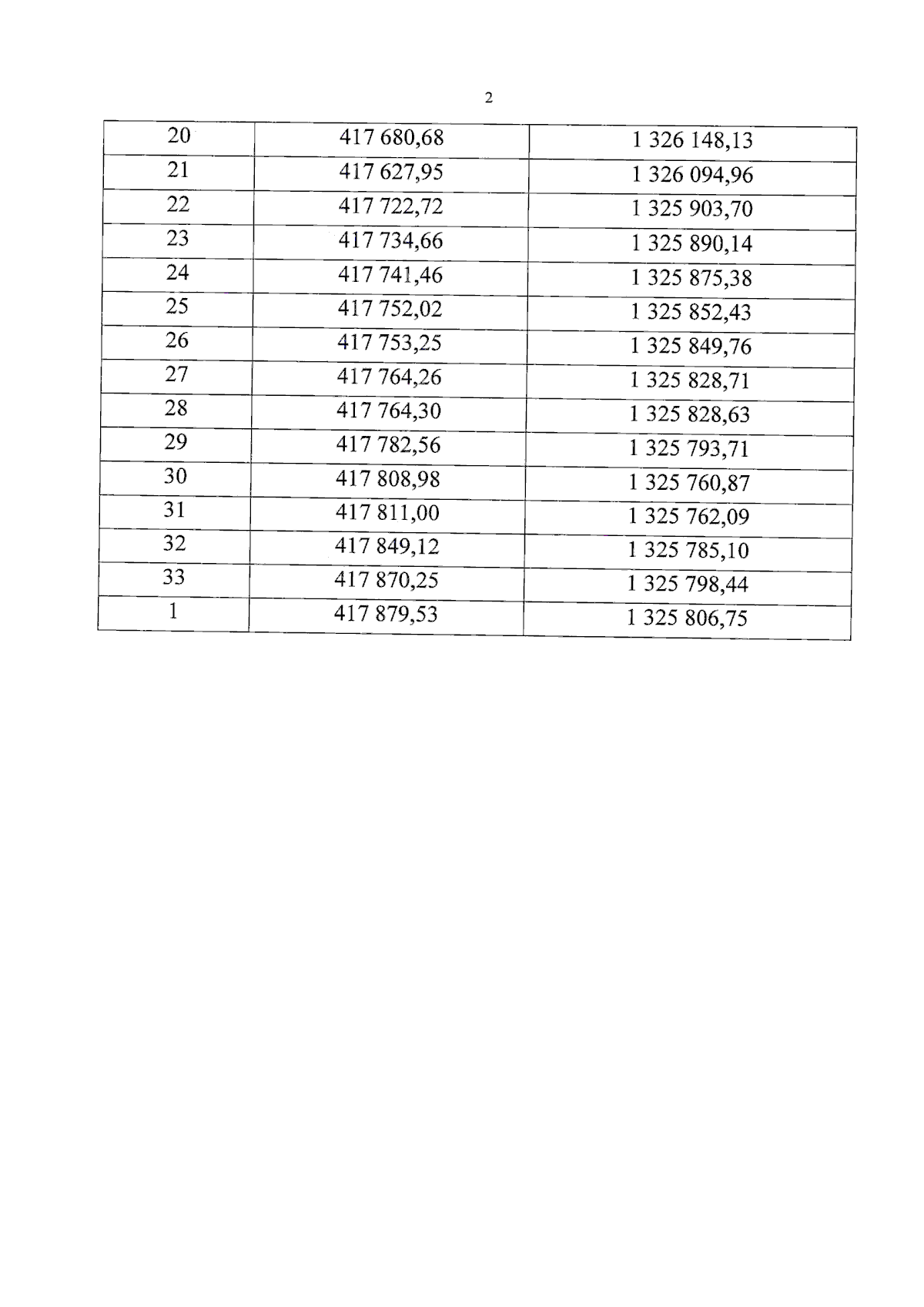
Приказ Комитета по охране объектов культурного наследия Псковской области от 13.05.2025 № 346
"Об утверждении границ территории объекта культурного наследия регионального значения "Усадебный парк", вторая половина XIX в., расположенного по адресу: Псковская область, Новоржевский район, Вехнянская волость, д. Вехно"
(Зарегистрирован 13.05.2025 № 2118)
Номер опубликования: 6001202505220006
Дата опубликования: 22.05.2025
Страница №8 из 10:
Увеличить