Официальное опубликование правовых актов
ОФИЦИАЛЬНОЕ ОПУБЛИКОВАНИЕ
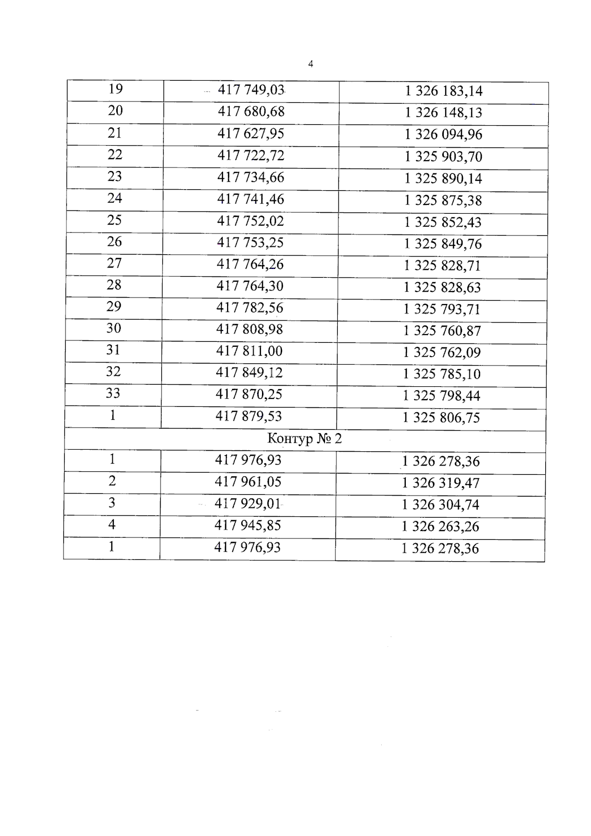
Приказ Комитета по охране объектов культурного наследия Псковской области от 13.05.2025 № 347
"Об утверждении границ территории объекта культурного наследия регионального значения "Барская усадьба", XIX в., расположенного по адресу: Псковская область, Новоржевский район, д. Вехно, Вехнянская волость"
(Зарегистрирован 13.05.2025 № 2119)
Номер опубликования: 6001202505220005
Дата опубликования: 22.05.2025
Страница №9 из 11:
Увеличить