Официальное опубликование правовых актов
ОФИЦИАЛЬНОЕ ОПУБЛИКОВАНИЕ
Приказ Комитета по тарифам и энергетике Псковской области от 27.12.2024 № 346-т
"О внесении изменений в приказ Комитета по тарифам и энергетике Псковской области от 23.11.2022 № 215-т "Об установлении тарифов на тепловую энергию (мощность), поставляемую муниципальным унитарным предприятием Опочецкого муниципального округа "Теплоэнерго" потребителям, на 2023 - 2027 годы"
(Зарегистрирован 27.12.2024 № 1750)
Номер опубликования: 6001202412290029
Дата опубликования: 29.12.2024
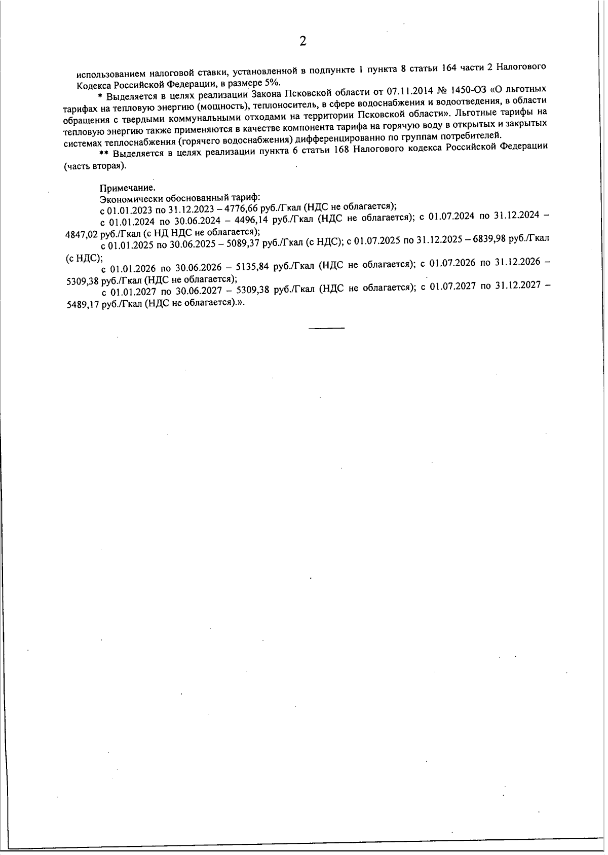
Страница №5 из 7:
Увеличить