Официальное опубликование правовых актов
ОФИЦИАЛЬНОЕ ОПУБЛИКОВАНИЕ
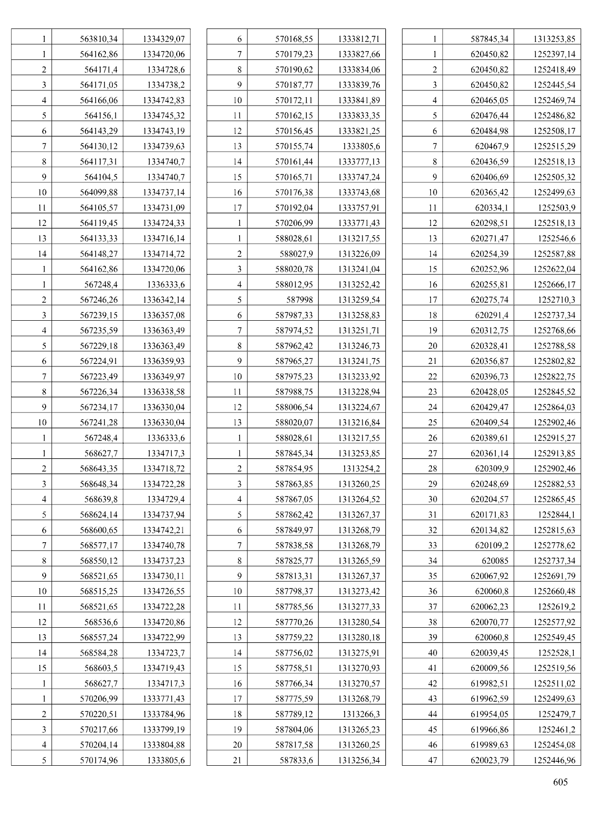
Приказ Комитета по природным ресурсам и экологии Псковской области от 25.12.2024 № 719
"Об утверждении местоположения береговой линии (границы водного объекта), границы водоохранной зоны и границы прибрежной защитной полосы реки Плюсса на территории Плюсского, Струго-Красненского и Гдовского районов Псковской области"
(Зарегистрирован 26.12.2024 № 1736)
Номер опубликования: 6001202412290004
Дата опубликования: 29.12.2024
Страница №607 из 608:
Увеличить