Официальное опубликование правовых актов
ОФИЦИАЛЬНОЕ ОПУБЛИКОВАНИЕ
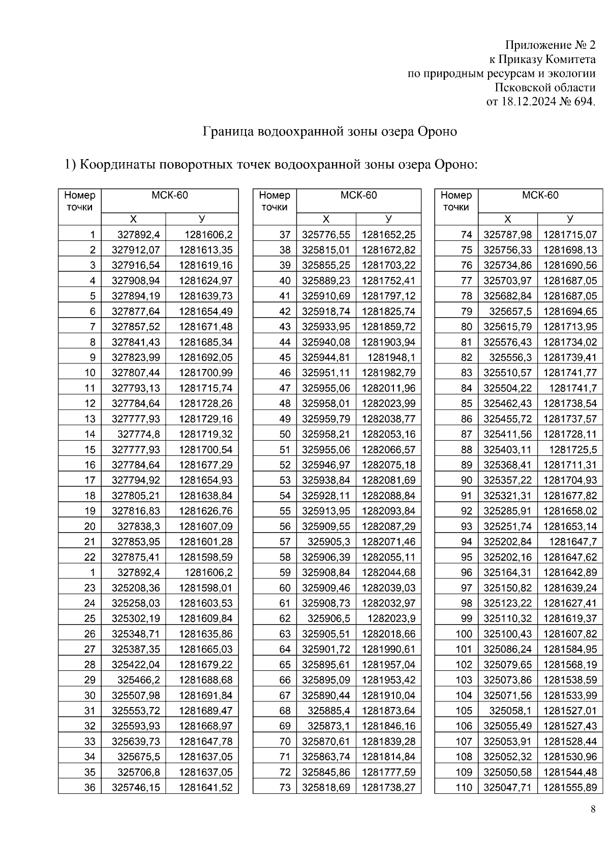
Приказ Комитета по природным ресурсам и экологии Псковской области от 18.12.2024 № 694
"Об утверждении местоположения береговой линии (границы водного объекта), границы водоохранной зоны и границы прибрежной защитной полосы озера Ороно на территории Себежского района Псковской области"
(Зарегистрирован 19.12.2024 № 1647)
Номер опубликования: 6001202412280003
Дата опубликования: 28.12.2024
Страница №10 из 36:
Увеличить