Официальное опубликование правовых актов
ОФИЦИАЛЬНОЕ ОПУБЛИКОВАНИЕ
Приказ Комитета по тарифам и энергетике Псковской области от 13.12.2024 № 206-в
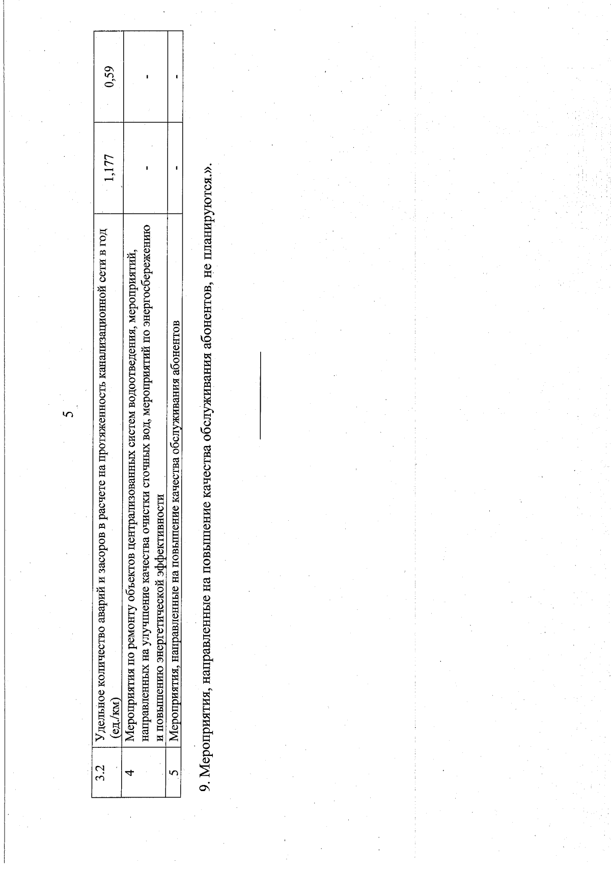
"О внесении изменений в приказ Комитета по тарифам и энергетике Псковской области от 22.11.2022 № 144-в "Об утверждении производственной программы, установлении долгосрочных параметров регулирования и тарифов в сфере водоотведения для общества с ограниченной ответственностью "Псковские коллекторные сети" на 2023 - 2027 гг."
(Зарегистрирован 13.12.2024 № 1546)
Номер опубликования: 6001202412190001
Дата опубликования: 19.12.2024
Страница №7 из 10:
Увеличить