Приказ Комитета по тарифам и энергетике Псковской области от 10.12.2024 № 115-в
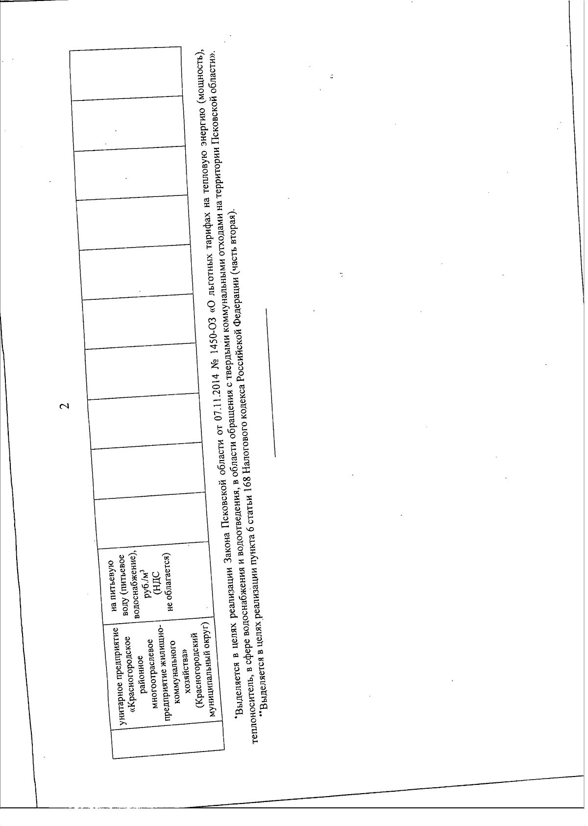
"О внесении изменений в приказ Комитета по тарифам и энергетике Псковской области от 21.11.2023 № 89-в "Об утверждении производственных программ, установлении долгосрочных параметров регулирования и тарифов в сфере холодного водоснабжения и водоотведения для муниципального унитарного предприятия "Красногородское районное многоотраслевое предприятие жилищно-коммунального хозяйства" на 2024 - 2028 годы"
(Зарегистрирован 10.12.2024 № 1465)
"О внесении изменений в приказ Комитета по тарифам и энергетике Псковской области от 21.11.2023 № 89-в "Об утверждении производственных программ, установлении долгосрочных параметров регулирования и тарифов в сфере холодного водоснабжения и водоотведения для муниципального унитарного предприятия "Красногородское районное многоотраслевое предприятие жилищно-коммунального хозяйства" на 2024 - 2028 годы"
(Зарегистрирован 10.12.2024 № 1465)
Номер опубликования: 6001202412180113
Дата опубликования:
18.12.2024
