Официальное опубликование правовых актов
ОФИЦИАЛЬНОЕ ОПУБЛИКОВАНИЕ
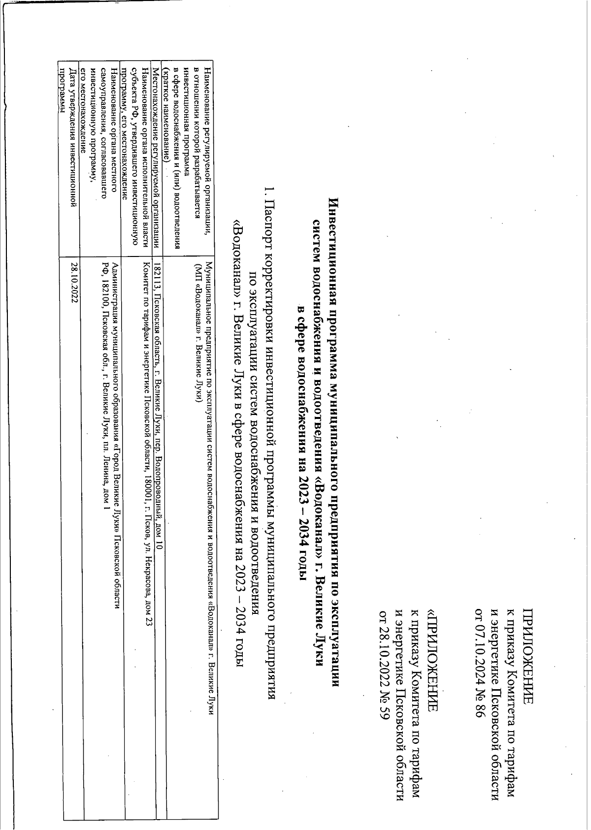
Приказ Комитета по тарифам и энергетике Псковской области от 07.10.2024 № 86
"О внесении изменений в инвестиционную программу муниципального предприятия по эксплуатации систем водоснабжения и водоотведения "Водоканал" г. Великие Луки в сфере холодного водоснабжения на 2023 - 2034 годы"
(Зарегистрирован 08.10.2024 № 1298)
Номер опубликования: 6001202410100006
Дата опубликования: 10.10.2024
Страница №2 из 44:
Увеличить