Официальное опубликование правовых актов
ОФИЦИАЛЬНОЕ ОПУБЛИКОВАНИЕ
Приказ Комитета по тарифам и энергетике Псковской области от 18.09.2024 № 76-в
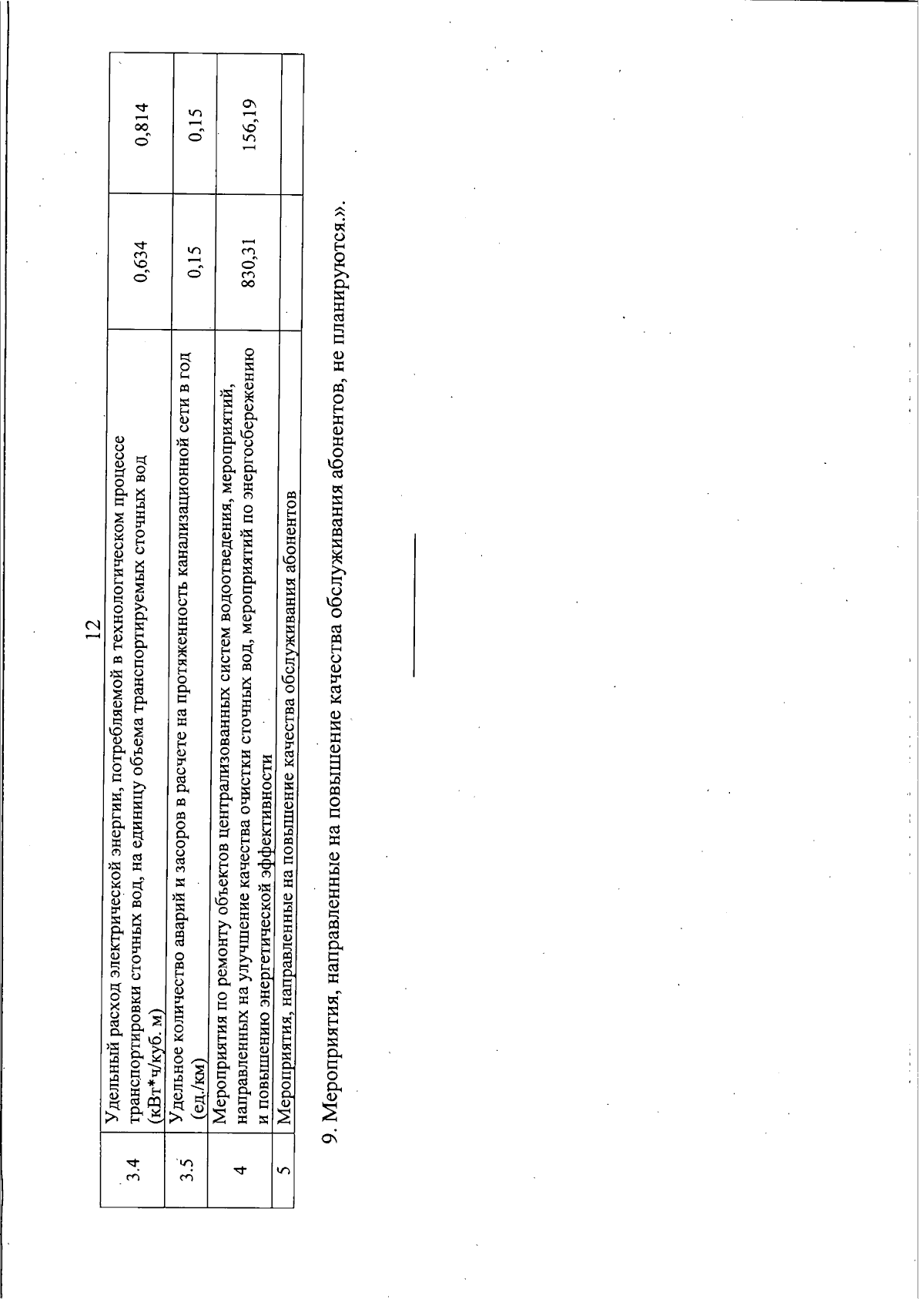
"О внесении изменений в приказ Комитета по тарифам и энергетике Псковской области от 12.12.2023 № 186-в "Об утверждении производственных программ, установлении долгосрочных параметров регулирования и тарифов в сфере холодного водоснабжения и водоотведения для муниципального унитарного предприятия Невельского района "Невельские теплосети" на 2024 - 2028 годы"
(Зарегистрирован 18.09.2024 № 1249)
Номер опубликования: 6001202409200007
Дата опубликования: 20.09.2024
Страница №14 из 21:
Увеличить