Приказ Комитета по природным ресурсам и экологии Псковской области от 09.09.2024 № 461
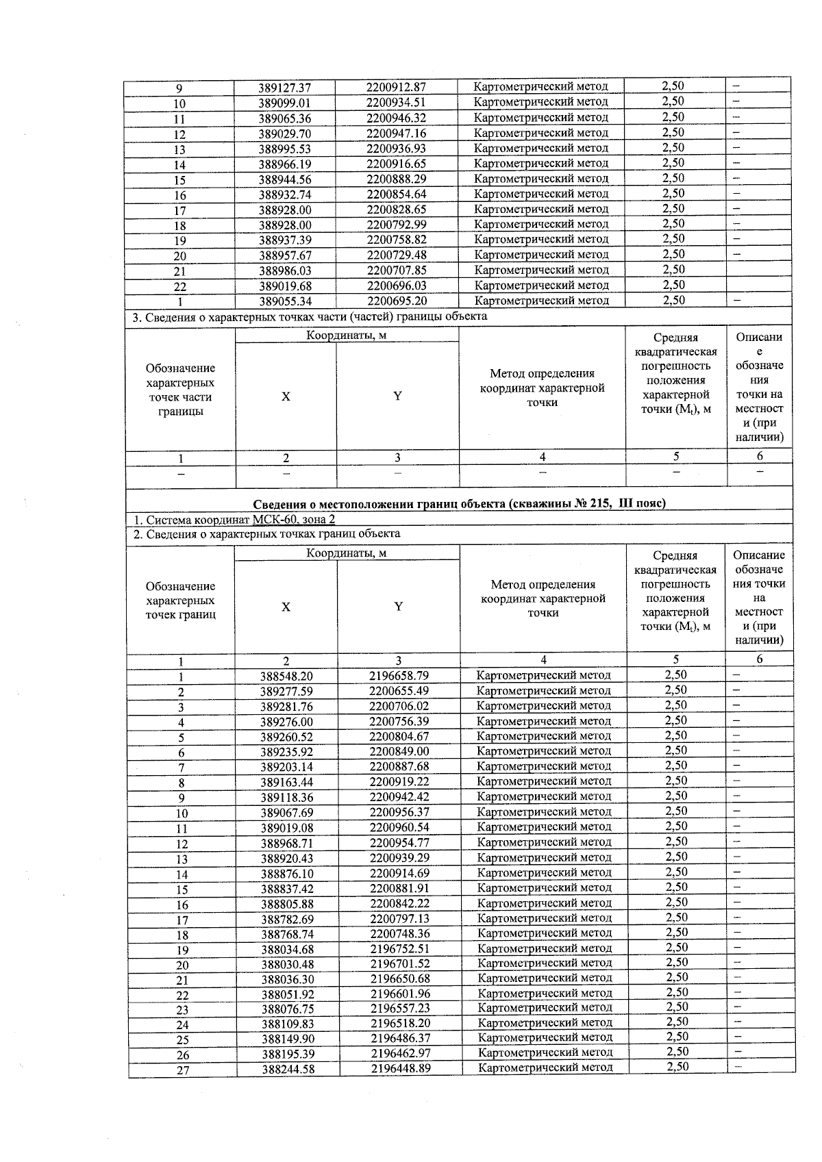
"О внесении изменений в приложение к приказу Государственного комитета Псковской области по природопользованию и охране окружающей среды от 09.12.2013 № 933 "Об утверждении Проекта организации зон санитарной охраны водозаборных скважин МУП "Локнянское ЖКХ"
(Зарегистрирован 13.09.2024 № 1235)
"О внесении изменений в приложение к приказу Государственного комитета Псковской области по природопользованию и охране окружающей среды от 09.12.2013 № 933 "Об утверждении Проекта организации зон санитарной охраны водозаборных скважин МУП "Локнянское ЖКХ"
(Зарегистрирован 13.09.2024 № 1235)
Номер опубликования: 6001202409180015
Дата опубликования:
18.09.2024
