Официальное опубликование правовых актов
ОФИЦИАЛЬНОЕ ОПУБЛИКОВАНИЕ
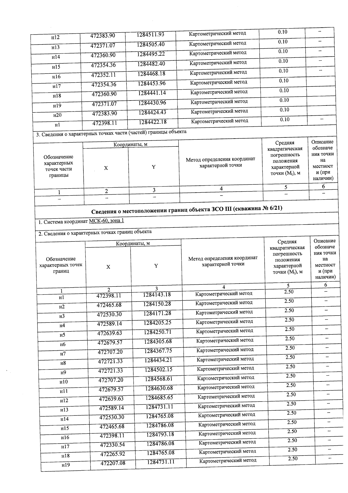
Приказ Комитета по природным ресурсам и экологии Псковской области от 19.04.2024 № 189
"Об установлении зон санитарной охраны источника питьевого и хозяйственно-бытового водоснабжения"
(Зарегистрирован 22.04.2024 № 1030)
Номер опубликования: 6001202404250005
Дата опубликования: 25.04.2024
Страница №10 из 11:
Увеличить