Официальное опубликование правовых актов
ОФИЦИАЛЬНОЕ ОПУБЛИКОВАНИЕ
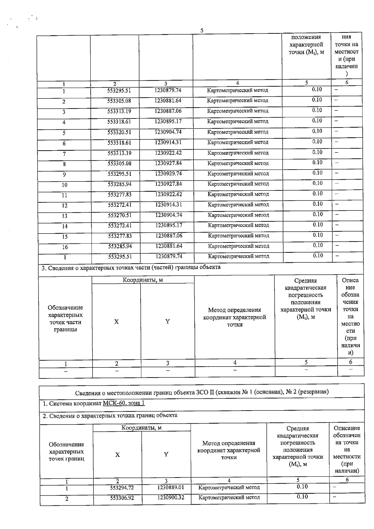
Приказ Комитета по природным ресурсам и экологии Псковской области от 09.01.2024 № 1
"Об установлении зон санитарной охраны источника питьевого и хозяйственно-бытового водоснабжения"
(Зарегистрирован 10.01.2024 № 851)
Номер опубликования: 6001202401170004
Дата опубликования: 17.01.2024
Страница №7 из 9:
Увеличить