Официальное опубликование правовых актов
ОФИЦИАЛЬНОЕ ОПУБЛИКОВАНИЕ
Приказ Комитета по природным ресурсам и экологии Псковской области от 28.08.2023 № 401
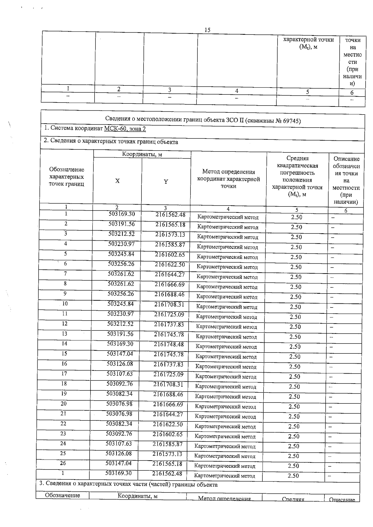
"Об изменении зон санитарной охраны источников питьевого и хозяйственно-бытового водоснабжения скважин № 63770, № 63771, № 63772, № 69745 водозабора Порховского МП "Водоканал", а также признании утратившим силу приказа Государственного комитета Псковской области по природопользованию и охране окружающей среды от 08.07.2014 № 511 "Об утверждении Проекта зон санитарной охраны скважин водозабора Порховского МП "Водоканал", расположенного между д. Бляницы и д. Подоклинье (месторождение Порховское) Порховского района Псковской области"
(Зарегистрирован 31.08.2023 № 396)
Номер опубликования: 6001202309060006
Дата опубликования: 06.09.2023
Страница №17 из 19:
Увеличить