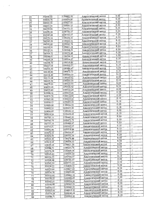
Приказ Комитета по природным ресурсам и экологии Псковской области от 17.07.2023 № 342
"О внесении изменений в приложение к приказу Государственного комитета Псковской области по природопользованию и охране окружающей среды от 29.05.2013 № 394 "Об утверждении Проекта зон санитарной охраны скважины на воду Государственного предприятия Псковской области "Центр детского отдыха и оздоровления", расположенной в д. Прудок Невельского района Псковской области"
(Зарегистрирован 19.07.2023 № 314)
"О внесении изменений в приложение к приказу Государственного комитета Псковской области по природопользованию и охране окружающей среды от 29.05.2013 № 394 "Об утверждении Проекта зон санитарной охраны скважины на воду Государственного предприятия Псковской области "Центр детского отдыха и оздоровления", расположенной в д. Прудок Невельского района Псковской области"
(Зарегистрирован 19.07.2023 № 314)
Номер опубликования: 6001202307270002
Дата опубликования:
27.07.2023
