Официальное опубликование правовых актов
ОФИЦИАЛЬНОЕ ОПУБЛИКОВАНИЕ
Приказ Комитета по природным ресурсам и экологии Псковской области от 20.10.2022 № 599
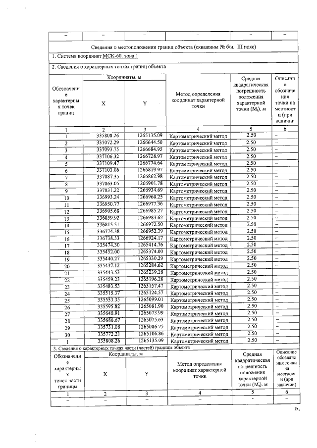
"О внесении изменений в приложение к приказу Государственного комитета Псковской области по природопользованию и охране окружающей среды от 20.06.2016 № 551 "Об утверждении Проекта зон санитарной охраны скважины на воду ООО "Терминал Себеж", расположенной в ур. Слядево Себежского района Псковской области"
Номер опубликования: 6001202210280014
Дата опубликования: 28.10.2022
Страница №4 из 5:
Увеличить