Официальное опубликование правовых актов
ОФИЦИАЛЬНОЕ ОПУБЛИКОВАНИЕ
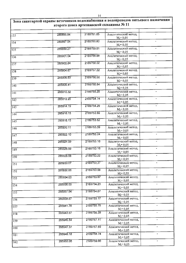
Приказ Комитета по природным ресурсам и экологии Псковской области от 29.06.2020 № 322
"Об установлении зон санитарной охраны источника питьевого, хозяйственно-бытового водоснабжения и технологического обеспечения"
Номер опубликования: 6001202007020003
Дата опубликования: 02.07.2020
Страница №16 из 24:
Увеличить