Официальное опубликование правовых актов
ОФИЦИАЛЬНОЕ ОПУБЛИКОВАНИЕ
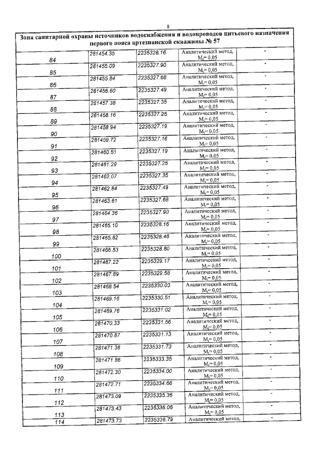
Приказ Комитета по природным ресурсам и экологии Псковской области от 27.04.2020 № 206
"Об установлении зон санитарной охраны источника питьевого, хозяйственно-бытового водоснабжения и технологического обеспечения"
Номер опубликования: 6001202004300010
Дата опубликования: 30.04.2020
Страница №10 из 25:
Увеличить