Приказ Комитета по охране объектов культурного наследия Псковской области от 24.12.2019 № 535
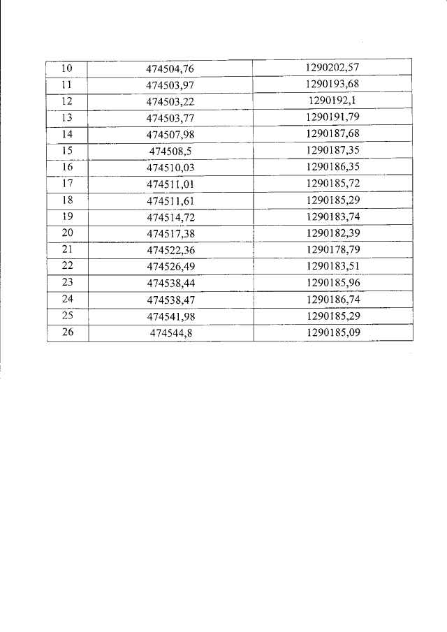
"Об утверждении границы территории объекта культурного наследия федерального значения "Церковь Покрова", XV в., расположенного по адресу: Псковская область, Псковский район, сельское поселение "Краснопрудская волость", д. Болотово"
"Об утверждении границы территории объекта культурного наследия федерального значения "Церковь Покрова", XV в., расположенного по адресу: Псковская область, Псковский район, сельское поселение "Краснопрудская волость", д. Болотово"
Номер опубликования: 6001201912310020
Дата опубликования:
31.12.2019
