Приказ Комитета по охране объектов культурного наследия Псковской области от 24.12.2019 № 545
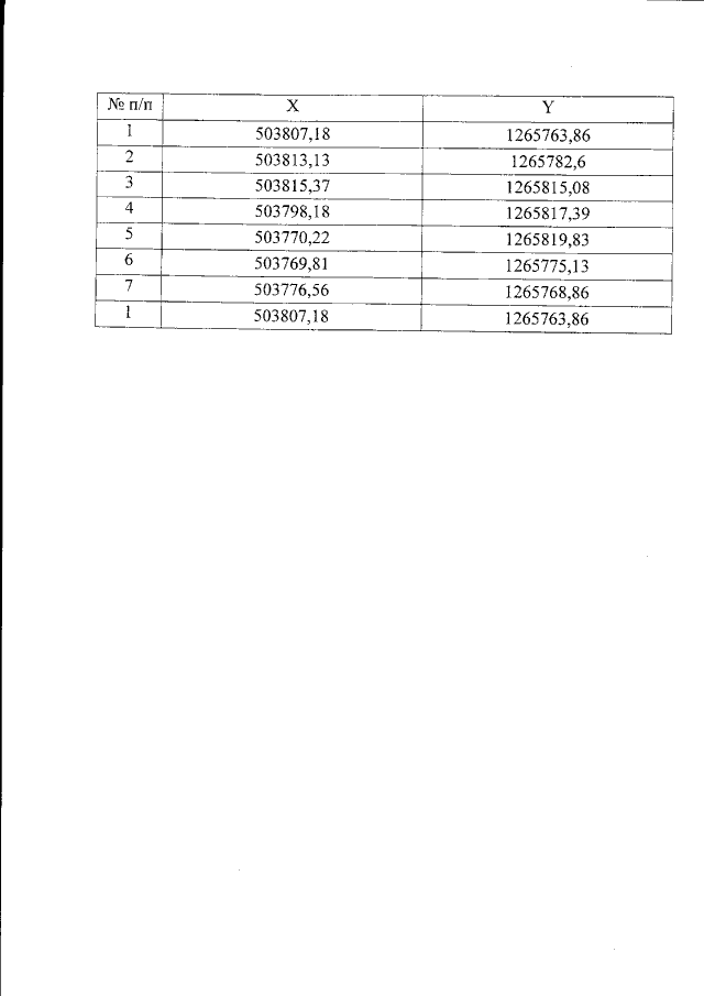
"Об утверждении границы территории объекта культурного наследия федерального значения "Церковь Мины, Виктора и Викентия", XVII-XIX вв., расположенного по адресу: Псковская область, Псковский район, сельское поселение "Завеличенская волость", д. Кусва, стр. 16а"
"Об утверждении границы территории объекта культурного наследия федерального значения "Церковь Мины, Виктора и Викентия", XVII-XIX вв., расположенного по адресу: Псковская область, Псковский район, сельское поселение "Завеличенская волость", д. Кусва, стр. 16а"
Номер опубликования: 6001201912310005
Дата опубликования:
31.12.2019
