Официальное опубликование правовых актов
ОФИЦИАЛЬНОЕ ОПУБЛИКОВАНИЕ
Приказ Комитета по охране объектов культурного наследия Псковской области от 09.12.2019 № 503
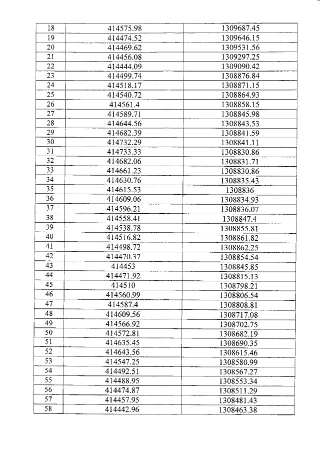
"О внесении изменений в приказ Государственного комитета Псковской области по охране объектов культурного наследия от 31.12.2014 № 892 "Об утверждении границы территории объекта культурного наследия федерального значения "Бугровская мельница", XIX в. (филиал музея-заповедника)", расположенного по адресу: Псковская область, д. Бугрово"
Номер опубликования: 6001201912130025
Дата опубликования: 13.12.2019
Страница №5 из 7:
Увеличить