Официальное опубликование правовых актов
ОФИЦИАЛЬНОЕ ОПУБЛИКОВАНИЕ
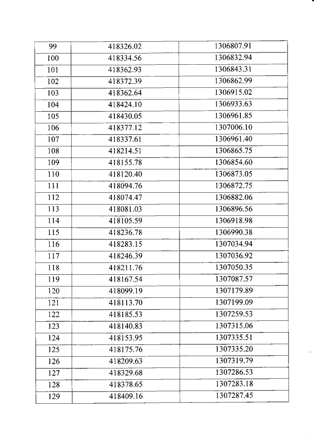
Приказ Комитета по охране объектов культурного наследия Псковской области от 04.12.2019 № 490
"Об утверждении границы территории объекта культурного наследия федерального значения "Достопримечательное место, связанное с жизнью и творчеством А.С.Пушкина в селе Михайловском и его окрестностях в Пушкиногорском районе Псковской области", расположенного по адресу: Псковская область, Пушкиногорский район"
Номер опубликования: 6001201912130005
Дата опубликования: 13.12.2019
Страница №10 из 38:
Увеличить