Официальное опубликование правовых актов
ОФИЦИАЛЬНОЕ ОПУБЛИКОВАНИЕ
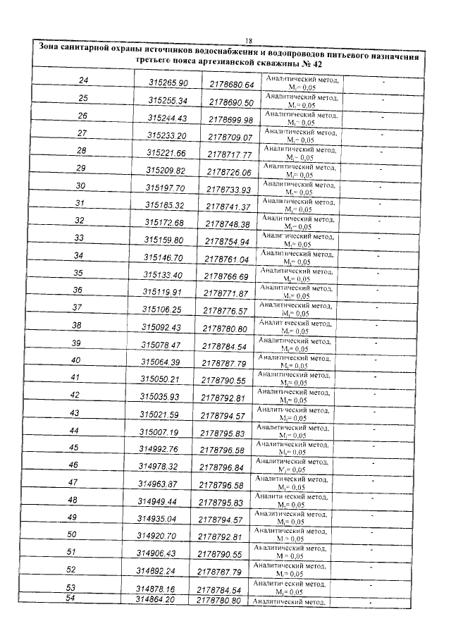
Приказ Комитета по природным ресурсам и экологии Псковской области от 10.09.2019 № 631
"Об установлении зон санитарной охраны источника питьевого и хозяйственно бытового водоснабжения"
Номер опубликования: 6001201909170001
Дата опубликования: 17.09.2019
Страница №20 из 25:
Увеличить