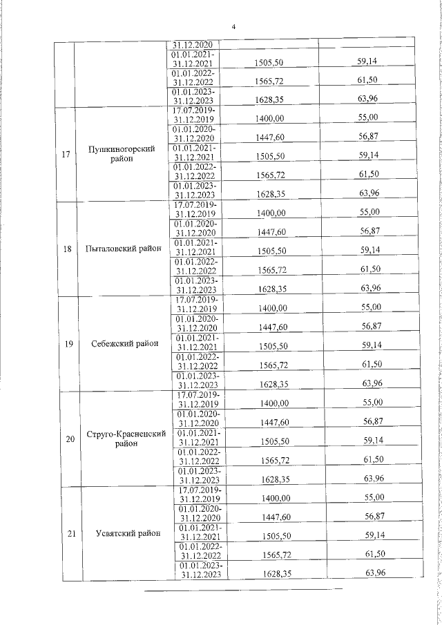
Приказ Комитета по тарифам и энергетике Псковской области от 17.07.2019 № 44-зтс
"Об установлении тарифов на перемещение и хранение задержанных транспортных средств на территории Псковской области на 2019-2023 годы"
"Об установлении тарифов на перемещение и хранение задержанных транспортных средств на территории Псковской области на 2019-2023 годы"
Номер опубликования: 6001201907190001
Дата опубликования:
19.07.2019
