Официальное опубликование правовых актов
ОФИЦИАЛЬНОЕ ОПУБЛИКОВАНИЕ
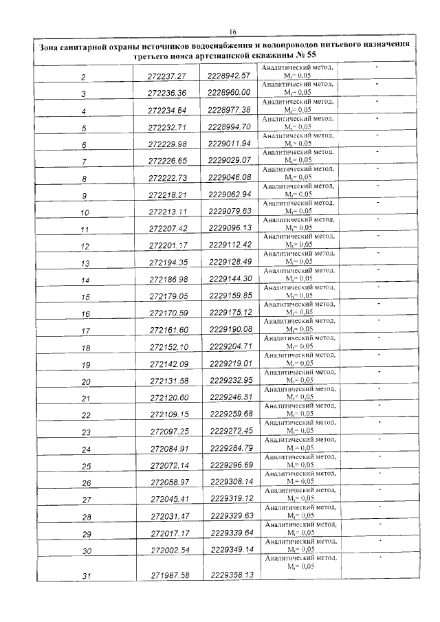
Приказ Комитета по природным ресурсам и экологии Псковской области от 17.05.2019 № 383
"Об установлении зон санитарной охраны источника питьевого и хозяйственно бытового водоснабжения"
Номер опубликования: 6001201905220003
Дата опубликования: 22.05.2019
Страница №18 из 23:
Увеличить