Официальное опубликование правовых актов
ОФИЦИАЛЬНОЕ ОПУБЛИКОВАНИЕ
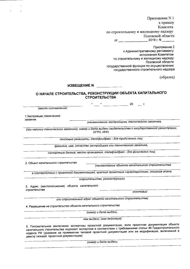
Приказ Комитета по строительству и жилищно-коммунальному хозяйству Псковской области от 13.03.2019 № 154-ОД "О внесении изменений в административный регламент исполнения Государственным комитетом Псковской области по строительному и жилищному надзору государственной функции по осуществлению регионального государственного строительного надзора"
Номер опубликования: 6001201903250011
Дата опубликования: 25.03.2019
Страница №12 из 36:
Увеличить