Официальное опубликование правовых актов
ОФИЦИАЛЬНОЕ ОПУБЛИКОВАНИЕ
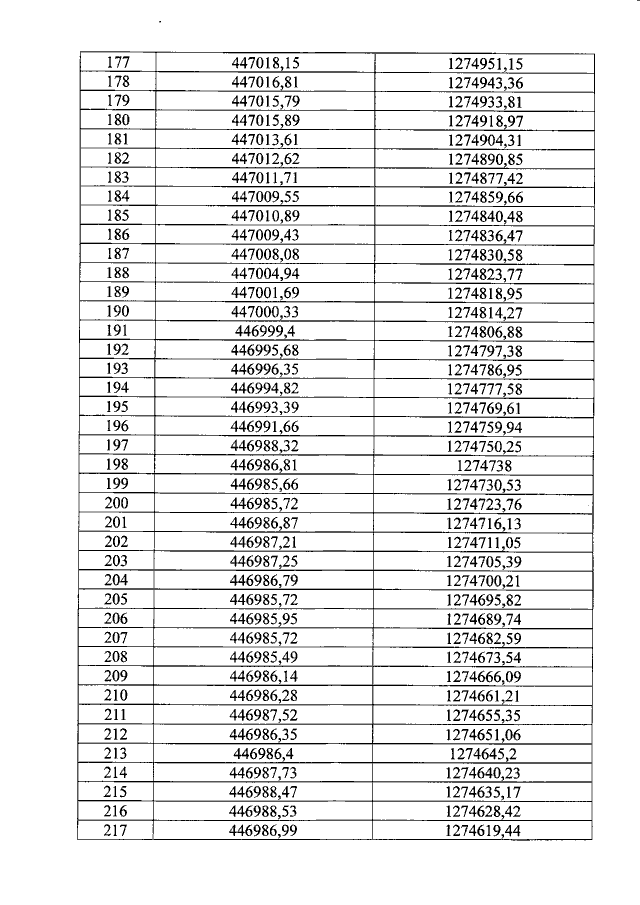
Приказ Государственного комитета Псковской области по охране объектов культурного наследия от 28.12.2018 № 475
"Об утверждении предмета охраны, границ территории и требований к градостроительным регламентам в границах территории исторического поселения регионального значения город Остров"
Номер опубликования: 6001201812290006
Дата опубликования: 29.12.2018
Страница №10 из 71:
Увеличить