Официальное опубликование правовых актов
ОФИЦИАЛЬНОЕ ОПУБЛИКОВАНИЕ
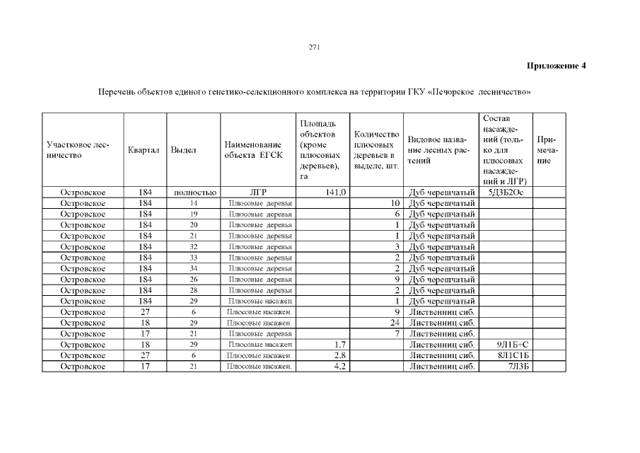
Приказ Государственного комитета Псковской области по природопользованию и охране окружающей среды от 18.12.2018 № 985 "Об утверждении лесохозяйственного регламента Печорского лесничества Псковской области"
Номер опубликования: 6001201812200035
Дата опубликования: 20.12.2018
Страница №271 из 274:
Увеличить