Официальное опубликование правовых актов
ОФИЦИАЛЬНОЕ ОПУБЛИКОВАНИЕ
Приказ Государственного комитета Псковской области по природопользованию и охране окружающей среды от 09.04.2018 № 248
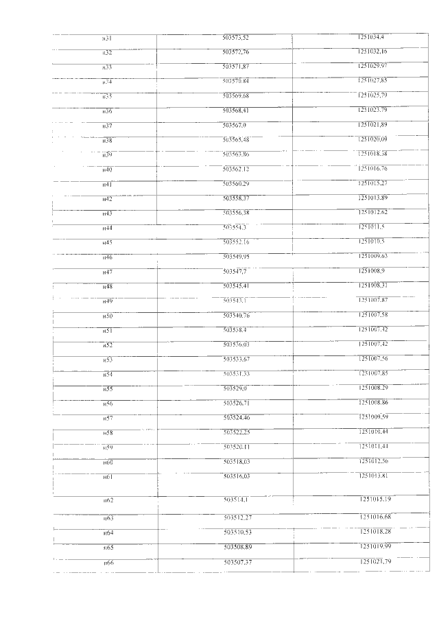
"Об утверждении Проекта зон санитарной охраны существующей артезианской скважины ООО "Загородный отель "Плесков", расположенной в урочище Анохова Губа Печорского района Псковской области"
Номер опубликования: 6001201804160001
Дата опубликования: 16.04.2018
Страница №9 из 13:
Увеличить