Официальное опубликование правовых актов
ОФИЦИАЛЬНОЕ ОПУБЛИКОВАНИЕ
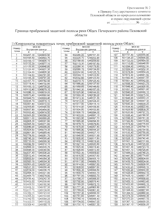
Приказ Государственного комитета Псковской области по природопользованию и охране окружающей среды от 14.03.2018 № 176
"Об утверждении границы водоохранной зоны и границы прибрежной защитной полосы реки Обдех Печорского района Псковской области"
Номер опубликования: 6001201803190001
Дата опубликования: 19.03.2018
Страница №39 из 76:
Увеличить