Официальное опубликование правовых актов
ОФИЦИАЛЬНОЕ ОПУБЛИКОВАНИЕ
Постановление Псковского областного Собрания депутатов от 26.02.2026 № 1224
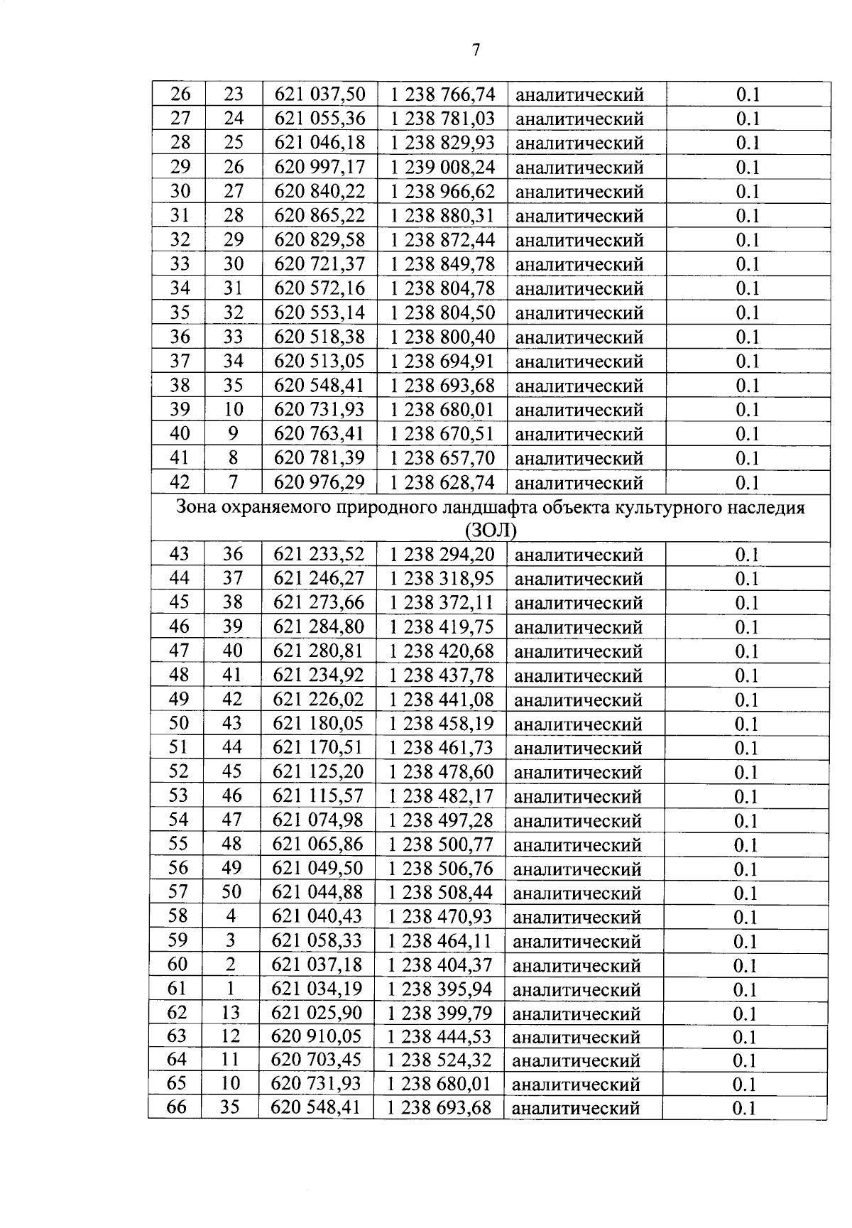
"О зонах охраны объекта культурного наследия федерального значения "Церковь Троицы", ХV — ХVII вв. (Псковская область, Гдовский район, д. Доможирка), ограничениях использования земельных участков, водных объектов и их частей и требованиях к градостроительным регламентам в границах данных зон"
Номер опубликования: 6000202602270007
Дата опубликования: 27.02.2026
Страница №9 из 15:
Увеличить