Официальное опубликование правовых актов
ОФИЦИАЛЬНОЕ ОПУБЛИКОВАНИЕ
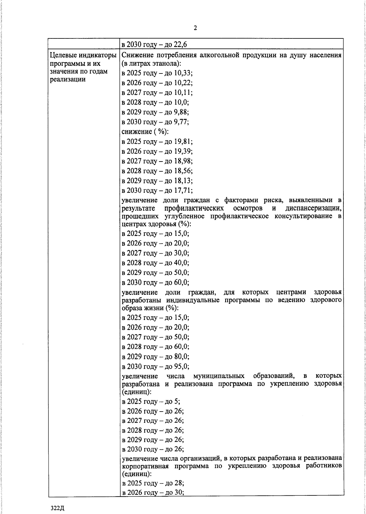
Постановление Правительства Псковской области от 29.12.2025 № 470
"О региональной программе Псковской области "Укрепление здоровья и формирование здоровьесберегающей среды"
Номер опубликования: 6000202512290003
Дата опубликования: 29.12.2025
Страница №3 из 63:
Увеличить