Официальное опубликование правовых актов
ОФИЦИАЛЬНОЕ ОПУБЛИКОВАНИЕ
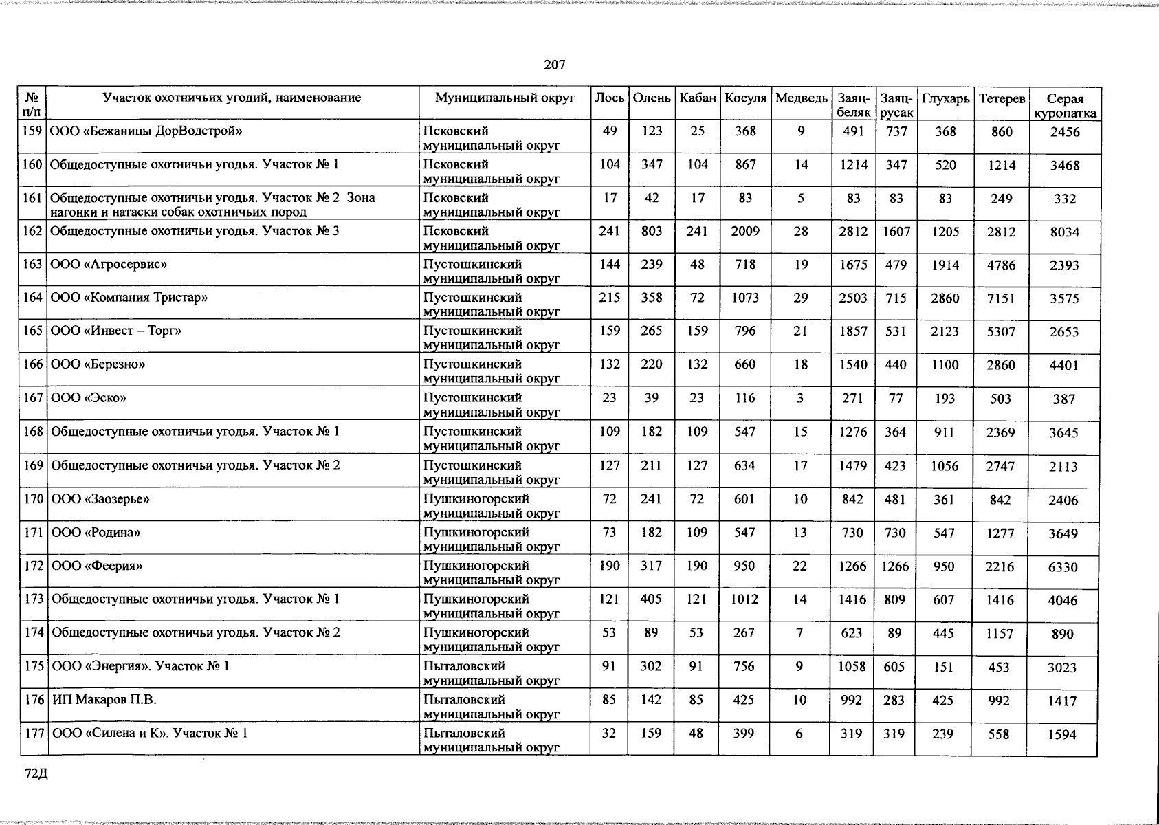
Указ Губернатора Псковской области от 15.12.2025 № 227-УГ
"О схеме размещения, использования и охраны охотничьих угодий на территории Псковской области"
Номер опубликования: 6000202512160001
Дата опубликования: 16.12.2025
Страница №208 из 228:
Увеличить