Официальное опубликование правовых актов
ОФИЦИАЛЬНОЕ ОПУБЛИКОВАНИЕ
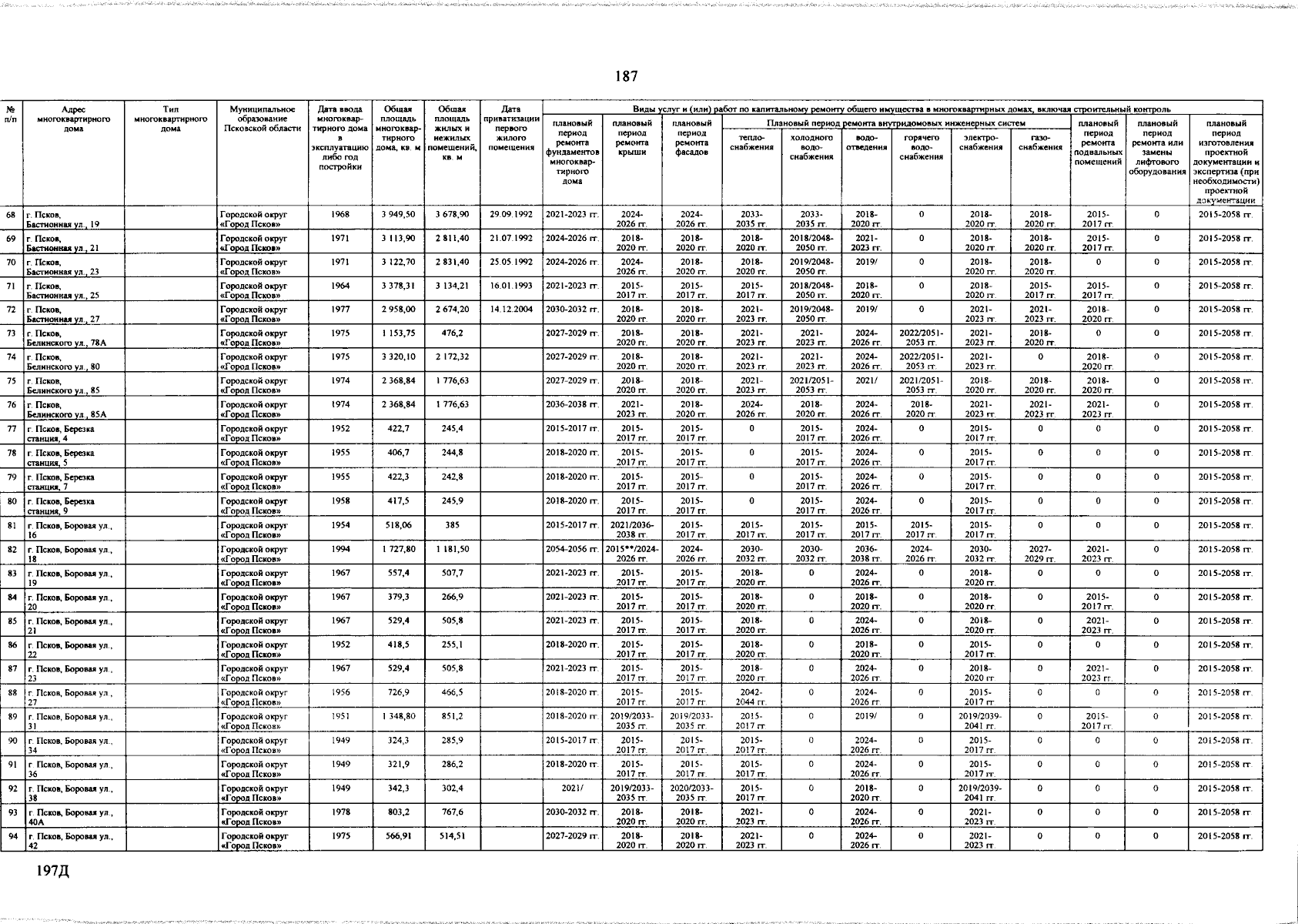
Постановление Правительства Псковской области от 17.09.2025 № 320
"О внесении изменений в Региональную программу капитального ремонта общего имущества в многоквартирных домах, расположенных на территории Псковской области, на 2014 - 2058 годы"
Номер опубликования: 6000202509180002
Дата опубликования: 18.09.2025
Страница №190 из 313:
Увеличить