Официальное опубликование правовых актов
ОФИЦИАЛЬНОЕ ОПУБЛИКОВАНИЕ
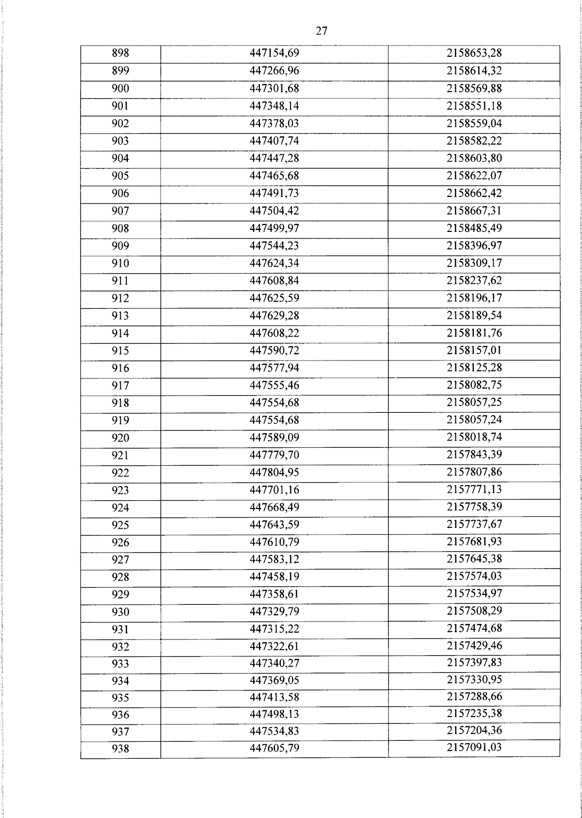
Закон Псковской области от 05.03.2025 № 2596-ОЗ
"О преобразовании муниципальных образований, входящих в состав Дедовичского муниципального района Псковской области"
Номер опубликования: 6000202503110004
Дата опубликования: 11.03.2025
Страница №33 из 64:
Увеличить