Официальное опубликование правовых актов
ОФИЦИАЛЬНОЕ ОПУБЛИКОВАНИЕ
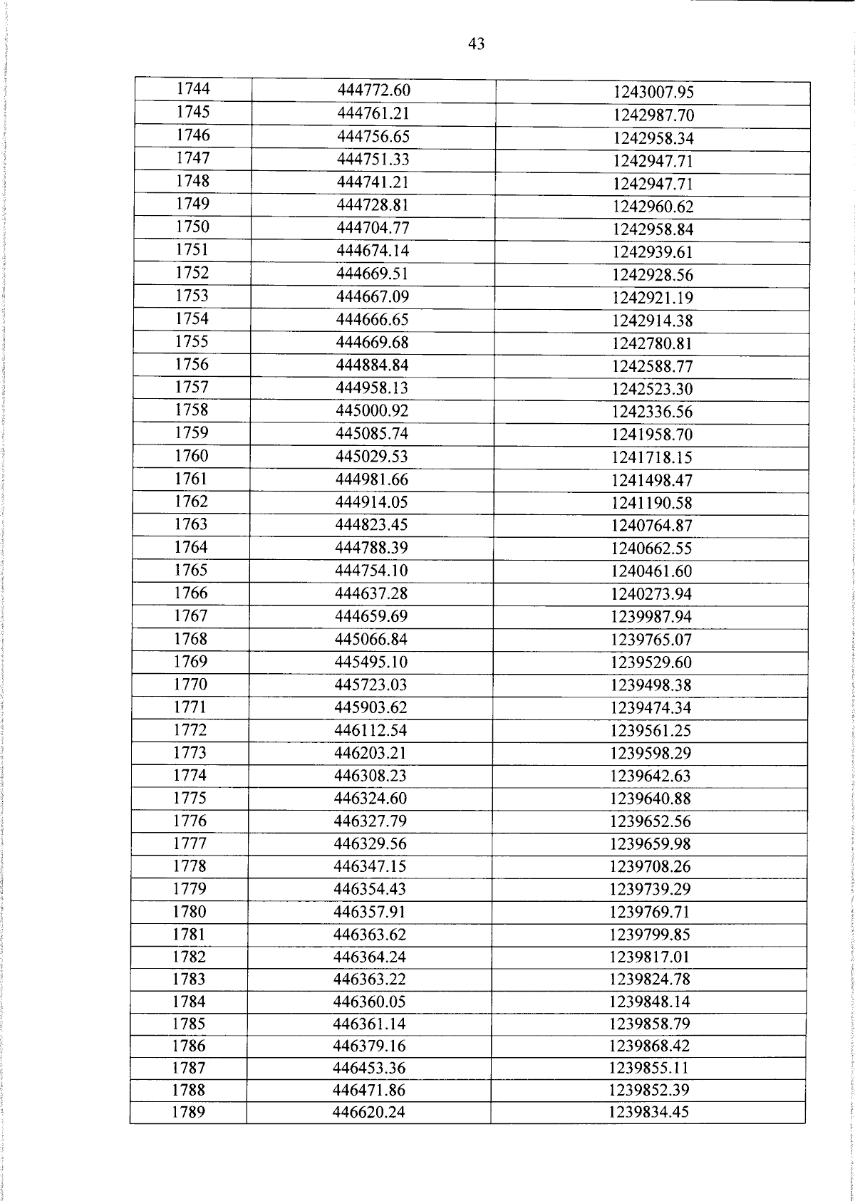
Закон Псковской области от 05.03.2025 № 2600-ОЗ
"О преобразовании муниципальных образований, входящих в состав Палкинского муниципального района Псковской области"
Номер опубликования: 6000202503110003
Дата опубликования: 11.03.2025
Страница №50 из 59:
Увеличить