Официальное опубликование правовых актов
ОФИЦИАЛЬНОЕ ОПУБЛИКОВАНИЕ
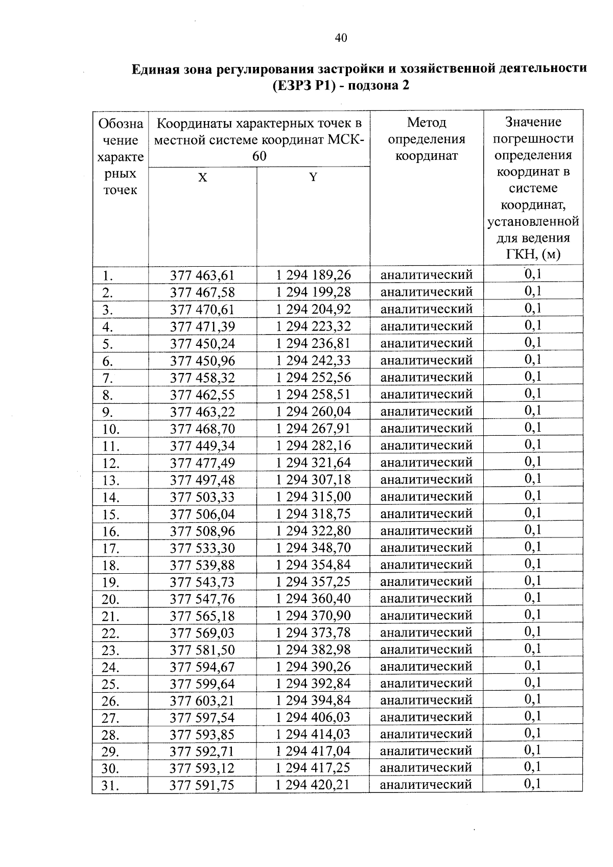
Постановление Псковского областного Собрания депутатов от 27.02.2025 № 980
"О границах объединенной зоны охраны объектов культурного наследия федерального и регионального значения, расположенных в городе Опочке на территории, ограниченной ул. Коммунальной, ул. 15 Июля, ул. Пушкина, ул. 1-го Мая, ул. Раи Гавриловой, ул. Веселой, ул. Ветеранов, и требованиях к градостроительным регламентам в границах данной зоны"
Номер опубликования: 6000202502280005
Дата опубликования: 28.02.2025
Страница №43 из 59:
Увеличить