Официальное опубликование правовых актов
ОФИЦИАЛЬНОЕ ОПУБЛИКОВАНИЕ
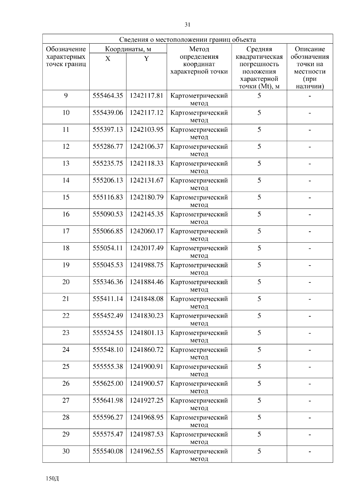
Постановление Правительства Псковской области от 18.12.2024 № 466
"О внесении изменения в генеральный план муниципального образования сельское поселение "Самолвовская волость"
Номер опубликования: 6000202412190002
Дата опубликования: 19.12.2024
Страница №33 из 188:
Увеличить