Официальное опубликование правовых актов
ОФИЦИАЛЬНОЕ ОПУБЛИКОВАНИЕ
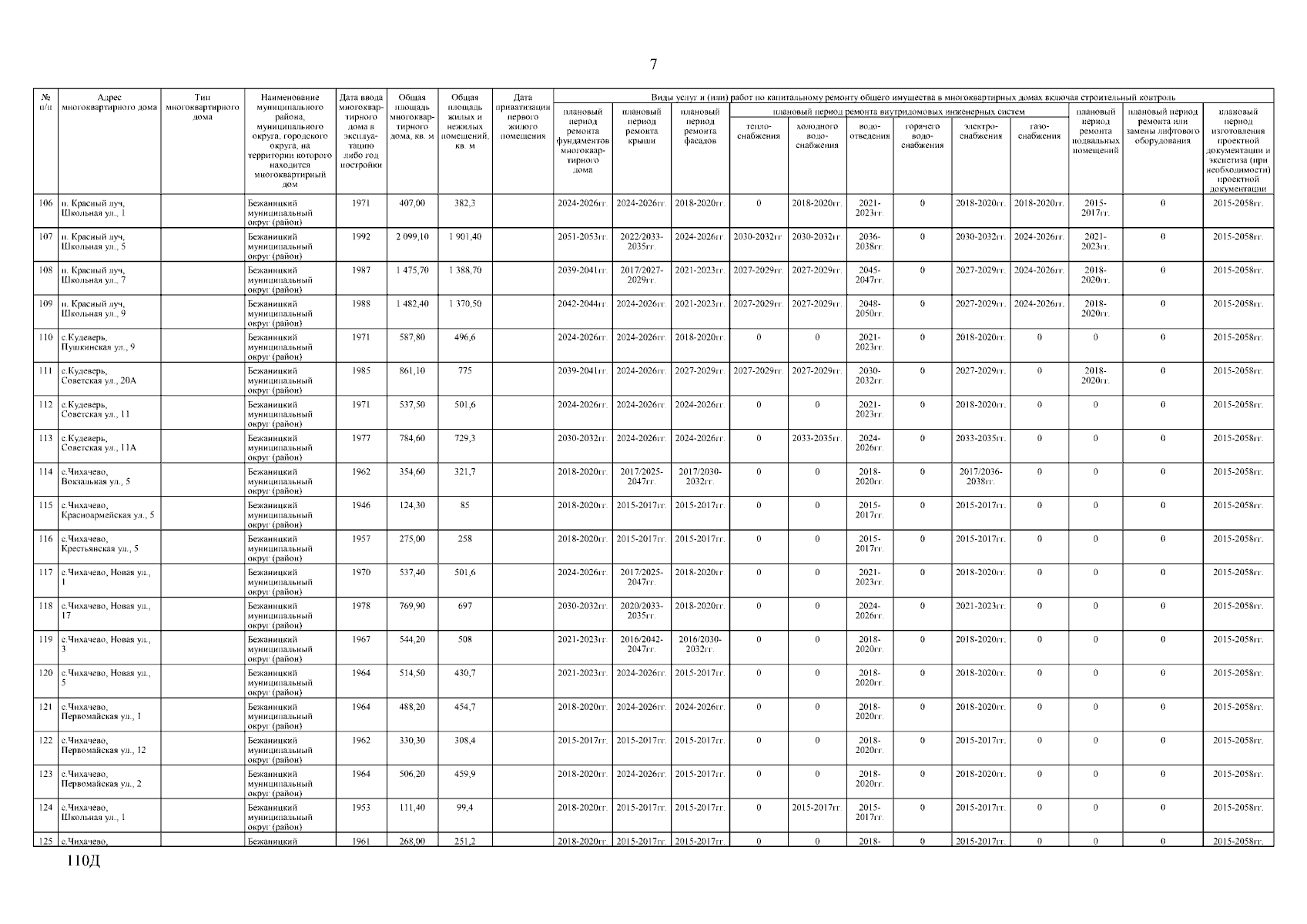
Постановление Правительства Псковской области от 16.10.2024 № 362
"О внесении изменений в постановление Администрации Псковской области от 07 февраля 2014 г. № 30 "О Региональной программе капитального ремонта общего имущества в многоквартирных домах, расположенных на территории Псковской области, на 2014-2043 годы"
Номер опубликования: 6000202410180003
Дата опубликования: 18.10.2024
Страница №10 из 222:
Увеличить