Официальное опубликование правовых актов
ОФИЦИАЛЬНОЕ ОПУБЛИКОВАНИЕ
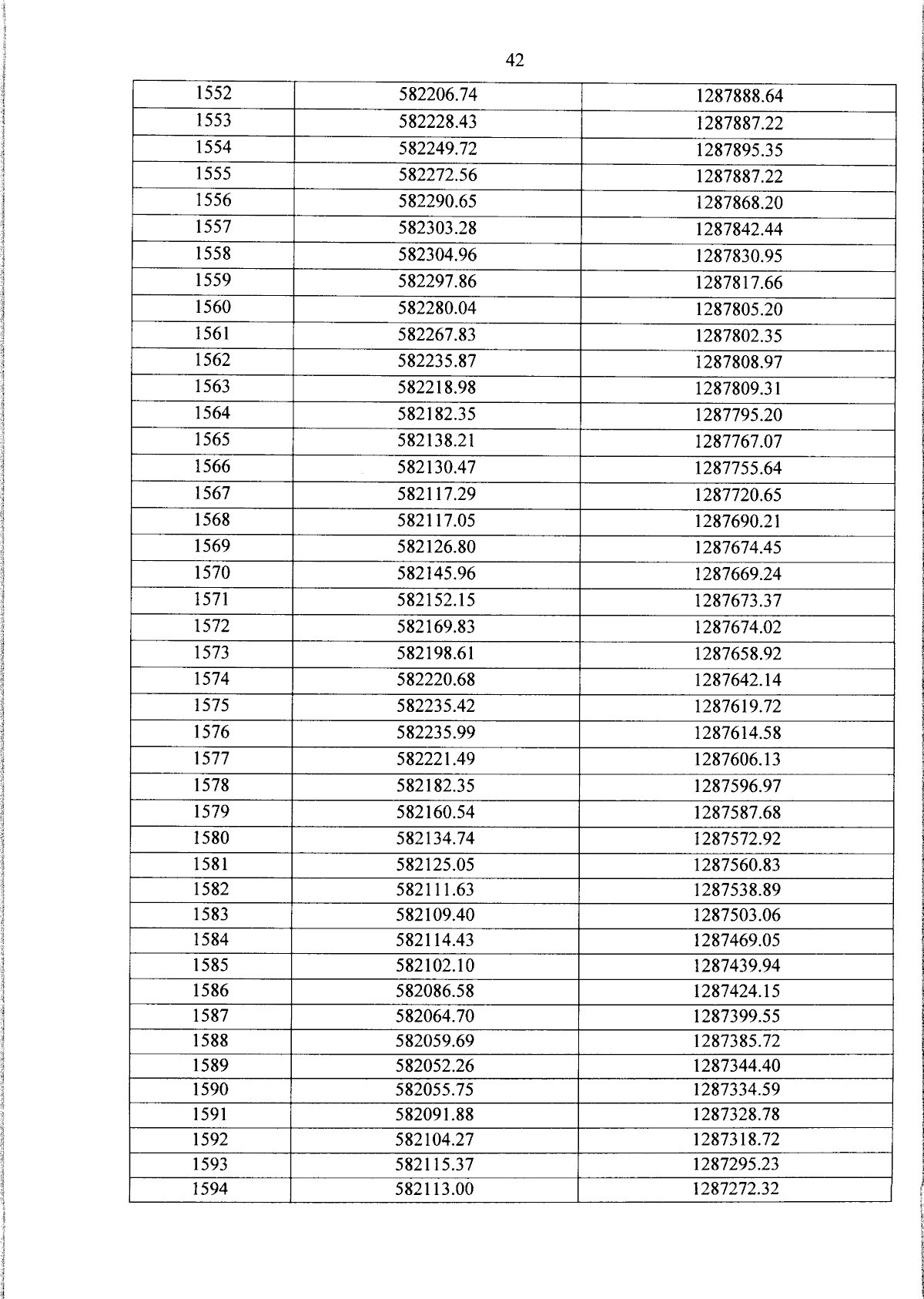
Закон Псковской области от 07.05.2024 № 2491-ОЗ
"О преобразовании муниципальных образований, входящих в состав муниципального образования "Усвятский район"
Номер опубликования: 6000202405080005
Дата опубликования: 08.05.2024
Страница №47 из 105:
Увеличить