Официальное опубликование правовых актов
ОФИЦИАЛЬНОЕ ОПУБЛИКОВАНИЕ
Постановление Правительства Псковской области от 22.02.2024 № 43
"Об утверждении Генерального плана сельского поселения "Чернёвская волость" Гдовского района Псковской области"
Номер опубликования: 6000202402270002
Дата опубликования: 27.02.2024
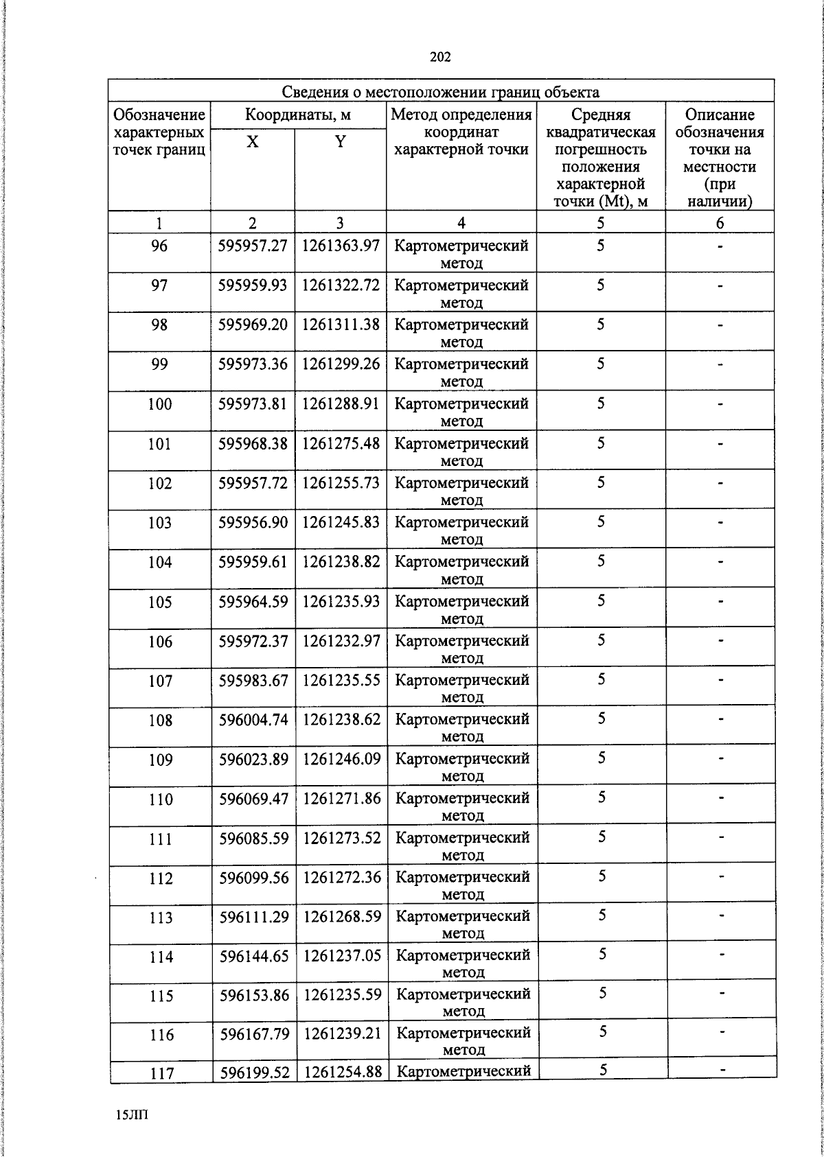
Страница №204 из 209:
Увеличить