Официальное опубликование правовых актов
ОФИЦИАЛЬНОЕ ОПУБЛИКОВАНИЕ
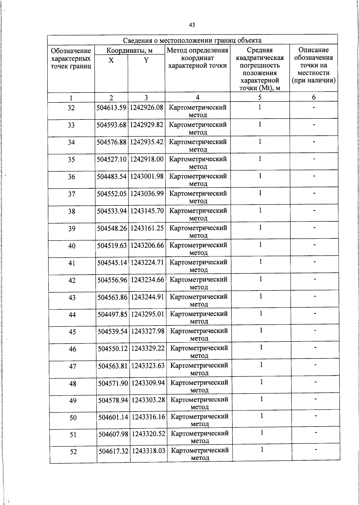
Постановление Правительства Псковской области от 25.12.2023 № 515
"Об утверждении Генерального плана сельского поселения "Круппская волость" Печорского района Псковской области"
Номер опубликования: 6000202312270001
Дата опубликования: 27.12.2023
Страница №45 из 511:
Увеличить