Официальное опубликование правовых актов
ОФИЦИАЛЬНОЕ ОПУБЛИКОВАНИЕ
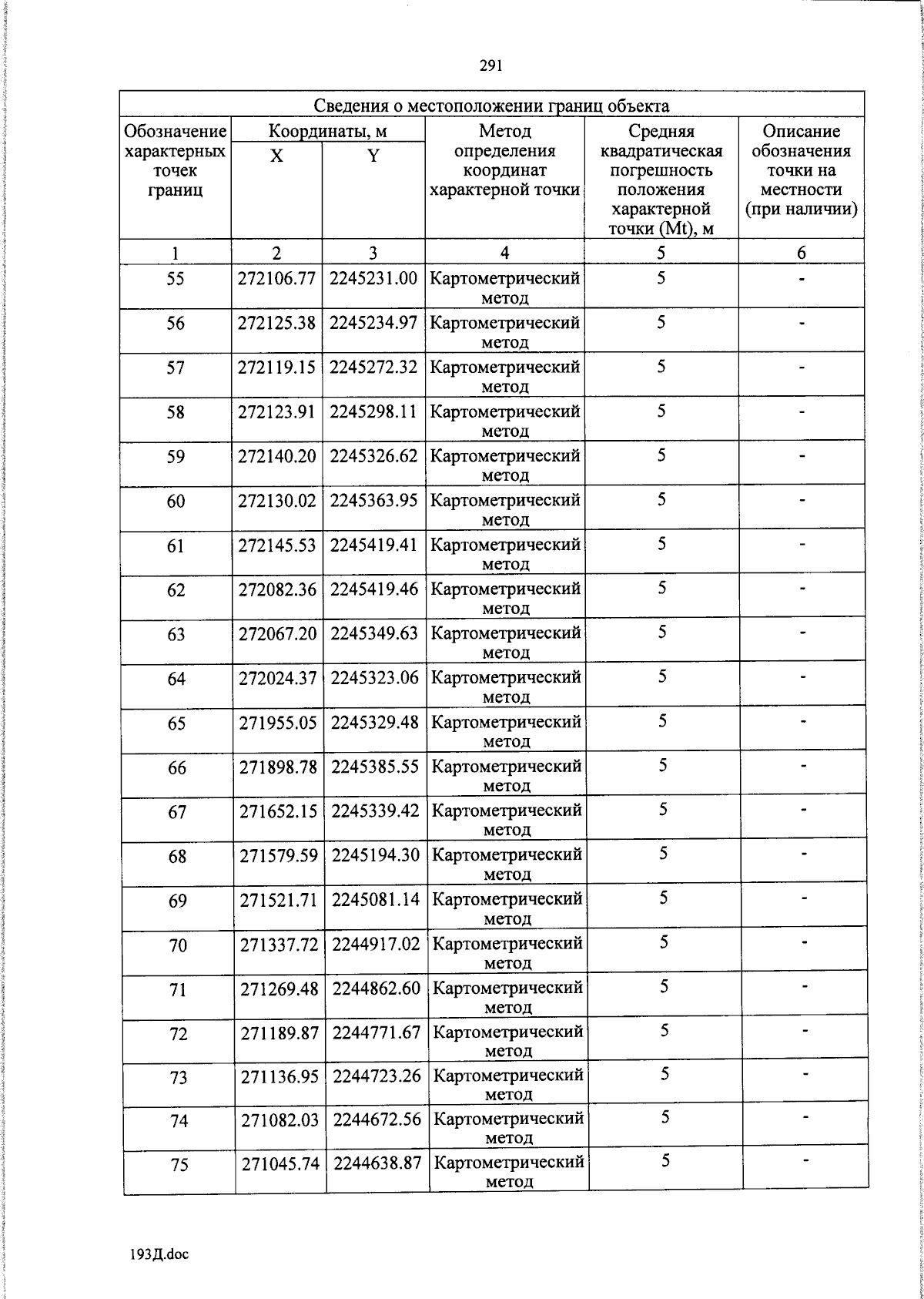
Постановление Правительства Псковской области от 29.11.2023 № 465
"Об утверждении Генерального плана сельского поселения "Усвятская волость" Усвятского района Псковской области"
Номер опубликования: 6000202312010009
Дата опубликования: 01.12.2023
Страница №293 из 364:
Увеличить