Официальное опубликование правовых актов
ОФИЦИАЛЬНОЕ ОПУБЛИКОВАНИЕ
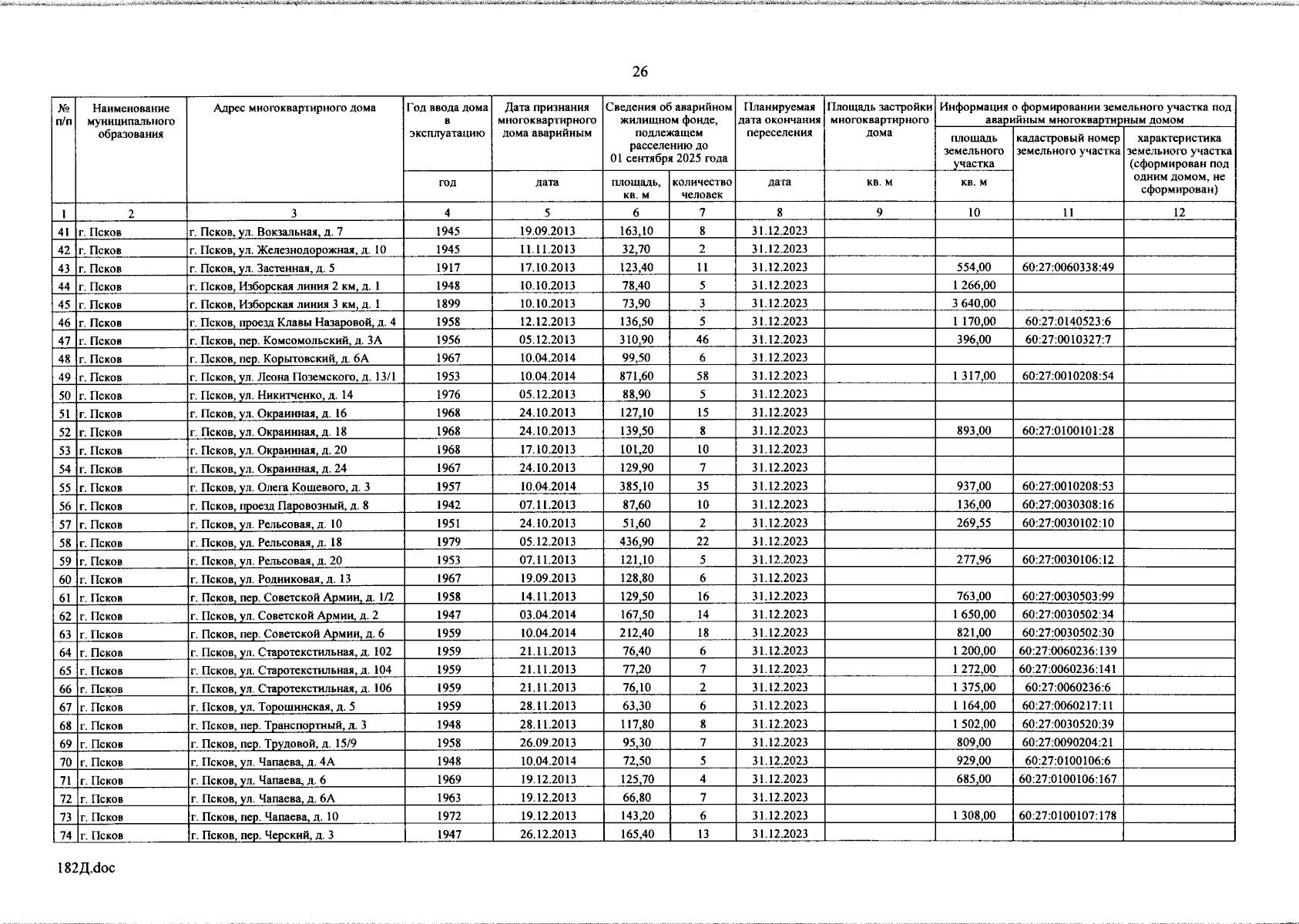
Постановление Правительства Псковской области от 30.08.2023 № 357
"О внесении изменения в областную адресную программу "Переселение граждан из аварийного жилищного фонда в 2019-2025 годах"
Номер опубликования: 6000202309050001
Дата опубликования: 05.09.2023
Страница №28 из 37:
Увеличить