Официальное опубликование правовых актов
ОФИЦИАЛЬНОЕ ОПУБЛИКОВАНИЕ
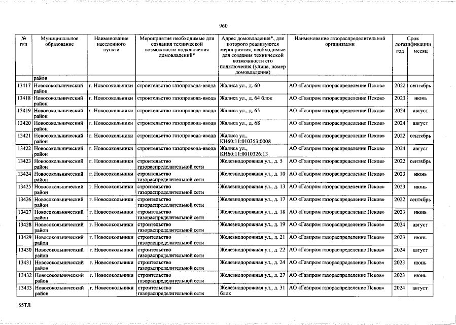
Указ Губернатора Псковской области от 05.07.2023 № 133-УГ
"О внесении изменений в указ Губернатора Псковской области от 30 ноября 2016 г. № 75-УГ "Об утверждении Региональной программы газификации Псковской области на 2017-2026 годы"
Номер опубликования: 6000202307100043
Дата опубликования: 10.07.2023
Страница №1045 из 1628:
Увеличить