Официальное опубликование правовых актов
ОФИЦИАЛЬНОЕ ОПУБЛИКОВАНИЕ
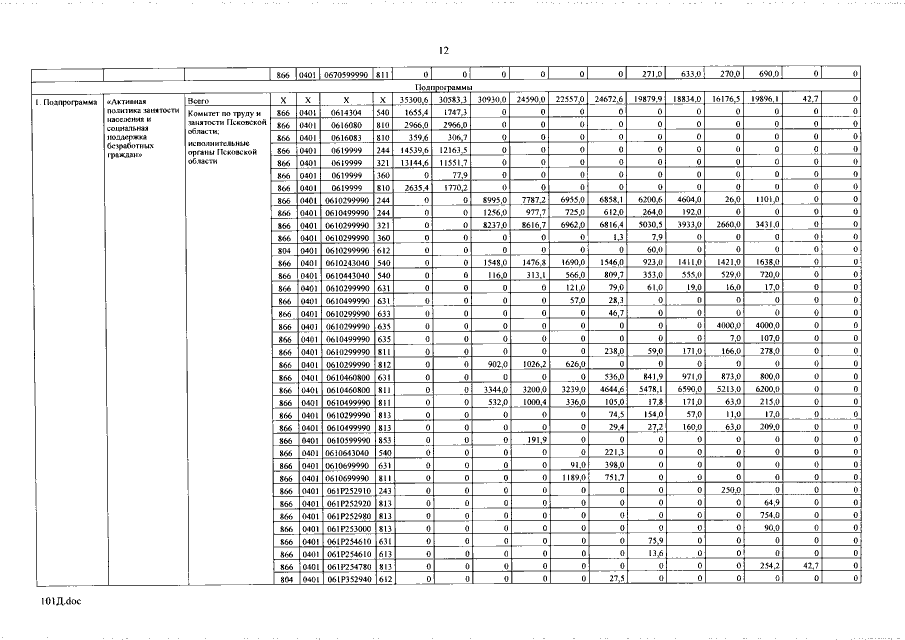
Постановление Правительства Псковской области от 17.05.2023 № 215
"О внесении изменений в Государственную программу Псковской области "Содействие занятости населения"
Номер опубликования: 6000202305190002
Дата опубликования: 19.05.2023
Страница №12 из 21:
Увеличить