Официальное опубликование правовых актов
ОФИЦИАЛЬНОЕ ОПУБЛИКОВАНИЕ
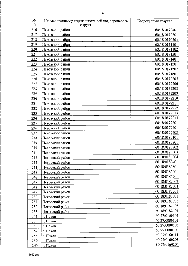
Постановление Администрации Псковской области от 27.05.2022 № 209
"О Перечне кадастровых кварталов на территории Псковской области, в границах которых предполагается проведение комплексных кадастровых работ"
Номер опубликования: 6000202205310008
Дата опубликования: 31.05.2022
Страница №8 из 13:
Увеличить