Официальное опубликование правовых актов
ОФИЦИАЛЬНОЕ ОПУБЛИКОВАНИЕ
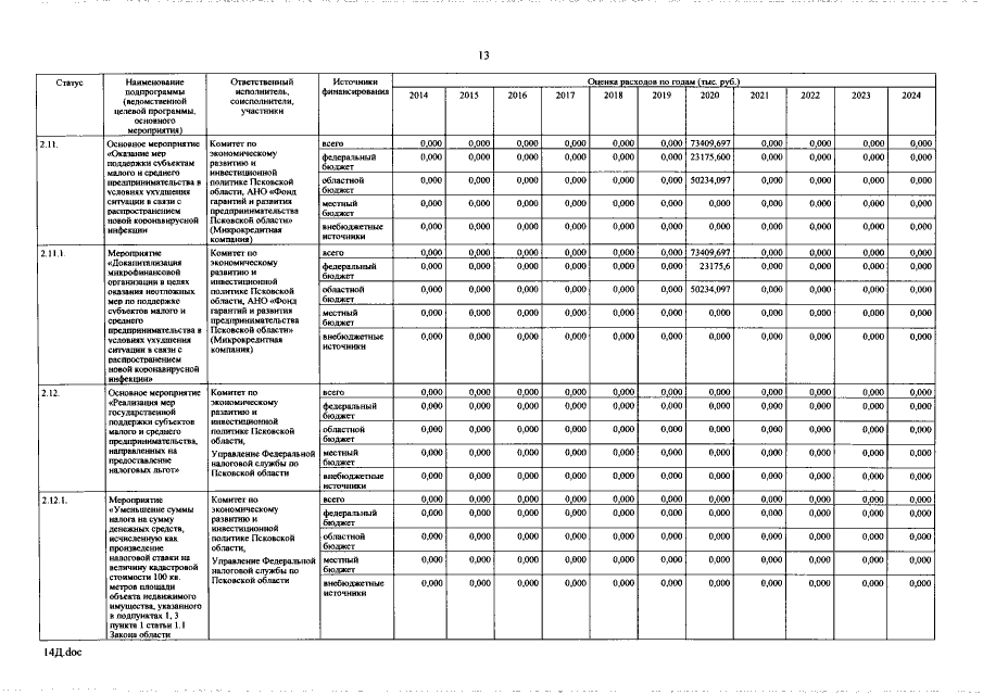
Постановление Администрации Псковской области от 11.03.2022 № 69
"О внесении изменений в Государственную программу Псковской области "Содействие экономическому развитию, инвестиционной и внешнеэкономической деятельности"
Номер опубликования: 6000202203150011
Дата опубликования: 15.03.2022
Страница №31 из 72:
Увеличить