Официальное опубликование правовых актов
ОФИЦИАЛЬНОЕ ОПУБЛИКОВАНИЕ
Постановление Администрации Псковской области от 10.07.2020 № 230
"О внесении изменения в Генеральный план муниципального образования "Завеличенская волость" Псковского района Псковской области"
Номер опубликования: 6000202007140004
Дата опубликования: 14.07.2020
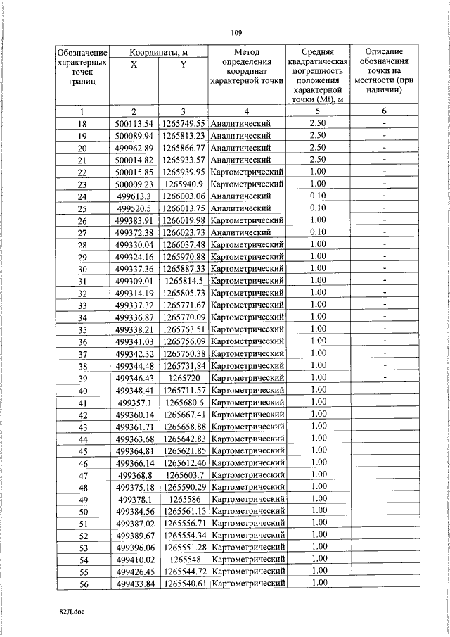
Страница №111 из 119:
Увеличить