Официальное опубликование правовых актов
ОФИЦИАЛЬНОЕ ОПУБЛИКОВАНИЕ
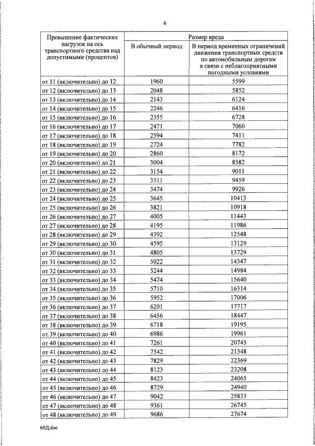
Постановление Администрации Псковской области от 02.06.2020 № 194
"О внесении изменений в постановление Администрации области от 19 февраля 2010 г. № 48 "О возмещении вреда, причиняемого транспортными средствами, осуществляющими перевозки тяжеловесных грузов по автомобильным дорогам регионального или межмуниципального значения Псковской области"
Номер опубликования: 6000202006050004
Дата опубликования: 05.06.2020
Страница №9 из 14:
Увеличить