Официальное опубликование правовых актов
ОФИЦИАЛЬНОЕ ОПУБЛИКОВАНИЕ
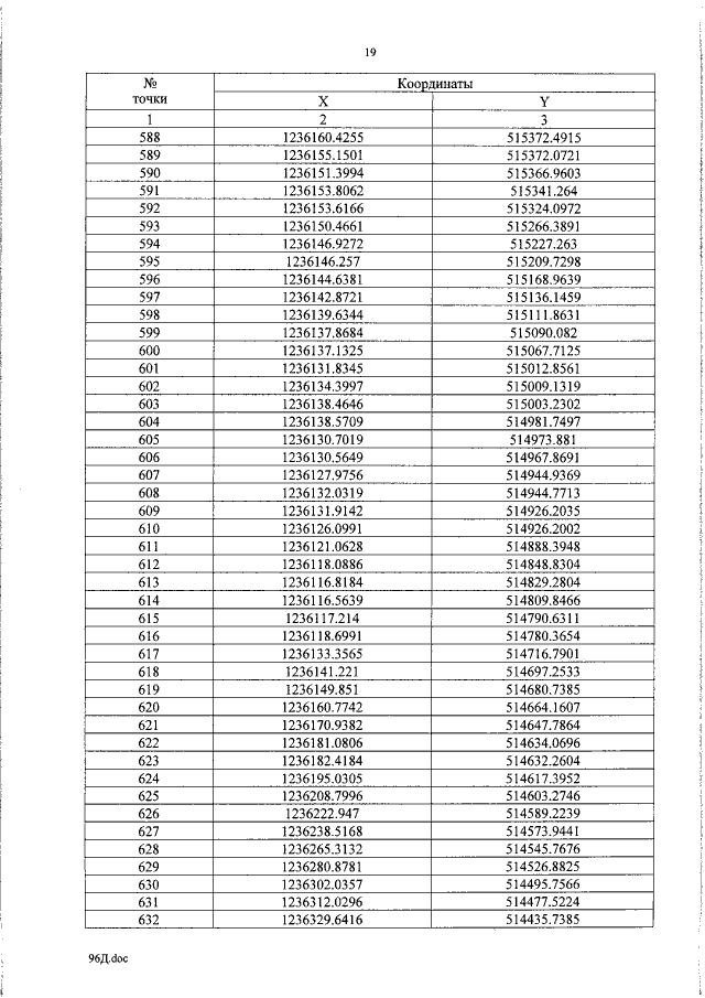
Постановление Администрации Псковской области от 24.06.2019 № 243
"Об утверждении проекта планировки территории, содержащего проект межевания территории, для размещения объекта регионального значения "Реконструкции автомобильной дороги Гверстонь – Крупп – Кулье на участке км 16+400 – км 28+882 в Печорском районе Псковской области"
Номер опубликования: 6000201907010012
Дата опубликования: 01.07.2019
Страница №21 из 62:
Увеличить